Vai al contenuto
Fabiozugno Astronomia
Home
Ritratti
Video
Contatto
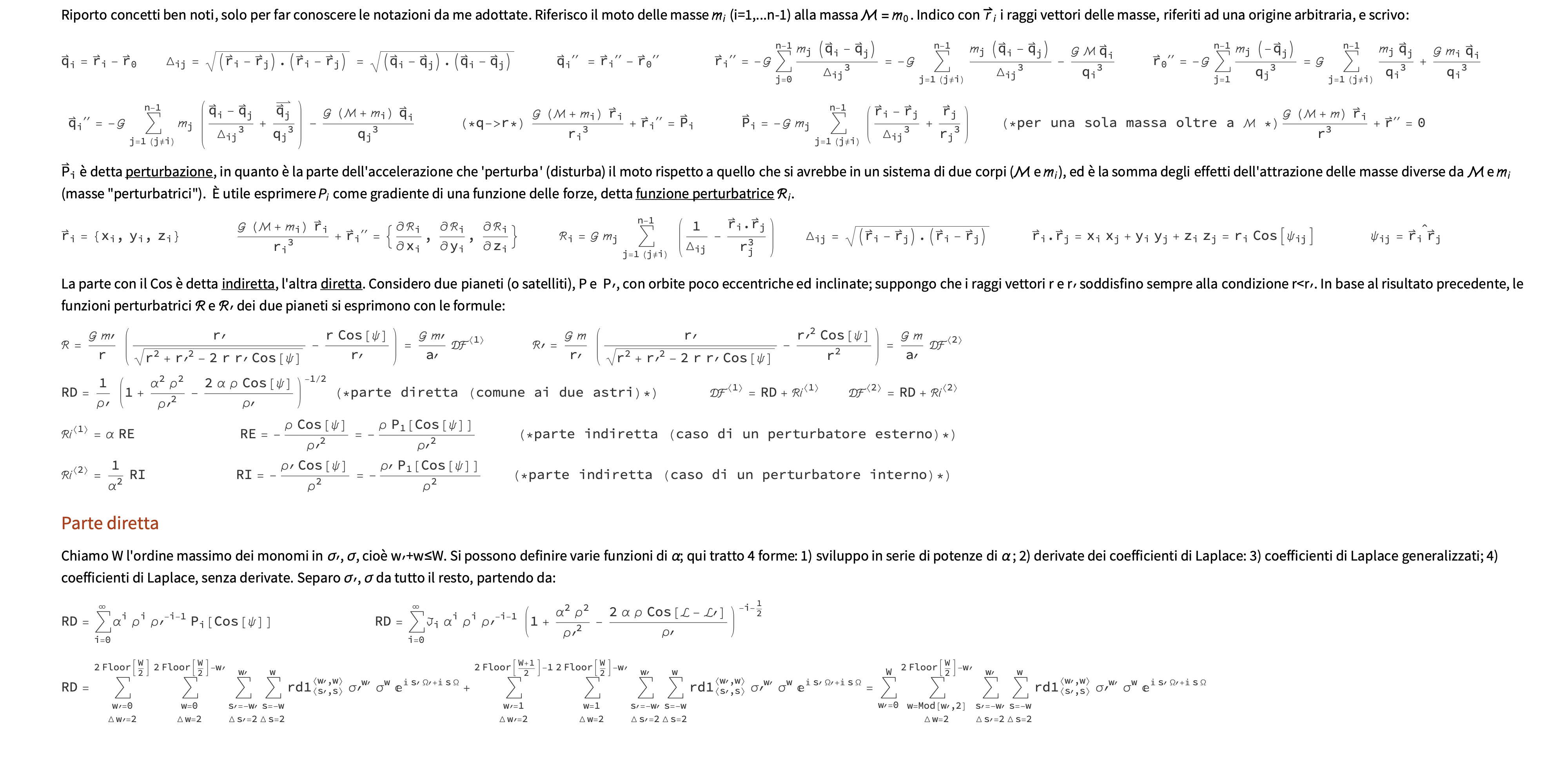
02.02.06 – Funzione perturbatrice: formule generali
Raccolta delle formule principali
Definizioni e parte diretta (inclinazioni)
Parte diretta (eccentricità) e parti indirette
Caricamento commenti...
Scrivi un Commento...
E-mail (Obbligatorio)
Nome (Obbligatorio)
Sito web
Abbonati
Abbonato
Fabiozugno Astronomia
Registrami
Hai già un account WordPress.com?
Accedi ora.
Fabiozugno Astronomia
Abbonati
Abbonato
Registrati
Accedi
Copia shortlink
Segnala questo contenuto
Visualizza articolo nel Reader
Gestisci gli abbonamenti
Riduci la barra