Peter Andreas Hansen (1795-1874) introdusse queste importanti funzioni nella sua Memoria del 1855 “Entwickelung des Products einer Potenz des Radius vectors mit dem Sinus oder Cosinus eines Vielfachen der wahren Anomalien in Riehen, die nach den Sinussen oder Cosinussen der Vielfachen der wahren, excentrischen oder mittleren Anomalie fortschtreiten” ➤ , pubblicata nella serie Abhandlungen der Mathematisch-Physischen Classe der Königlich Sächsischen Gesellschaft der Wissenschaften.
Lista dei simboli ➤
Raccolta delle formule principali


Integrali di Hansen e funzione H




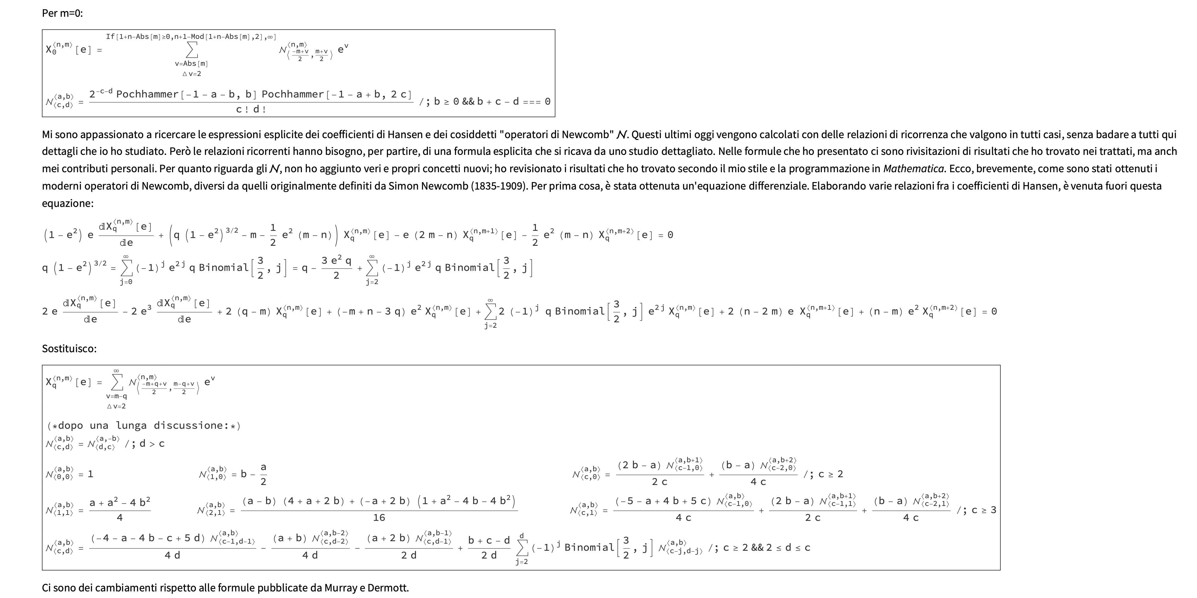
Coefficienti di Hansen e operatori di Newcomb

