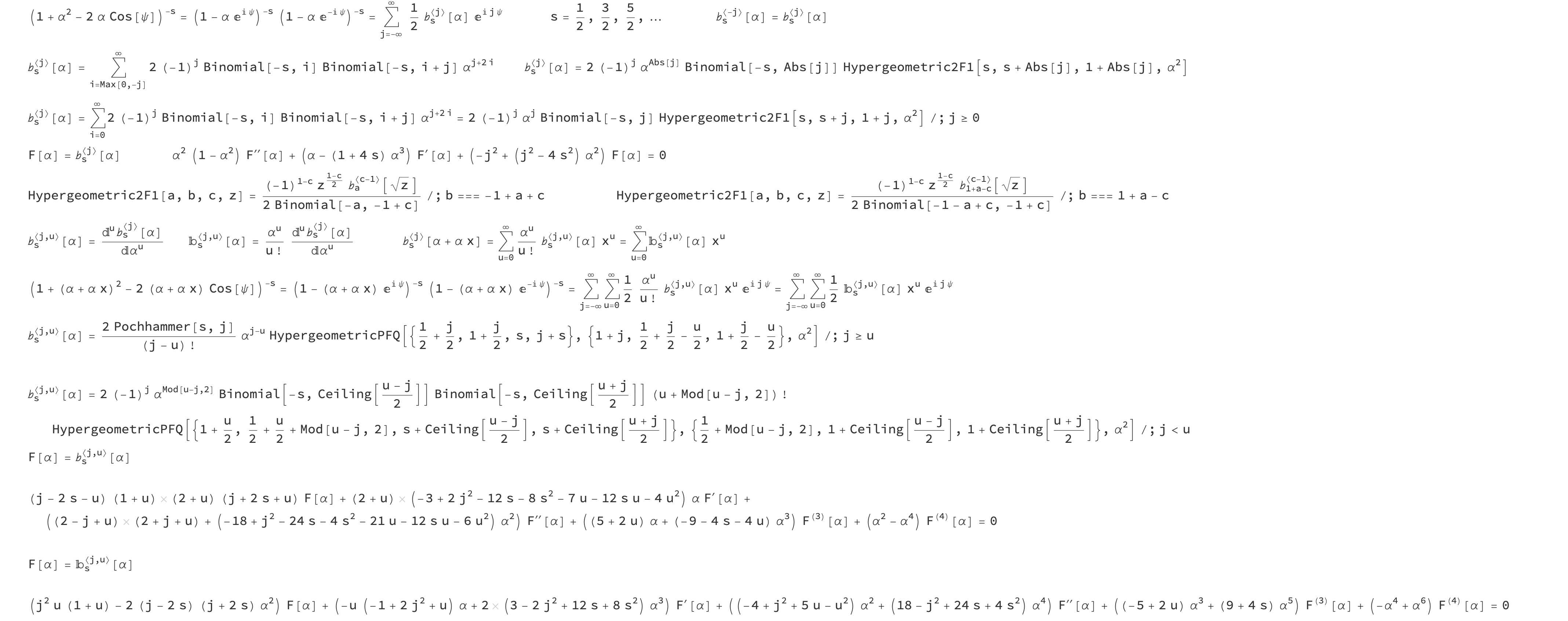
I cosiddetti coefficienti di Laplace, importantissimi e indispensabili ancora oggi, furono definiti da Pierre-Simon Laplace (1749-1827) nella Memoria “Théorie de Jupiter et de Saturne” a p. 64 ➤ . La memoria fu presentata nel 1785, e venne stampata nel 1788 in un volume della serie Histoire de l’Académie royale des sciences, avec les mémoires de mathématique et de physique. In questa sezione, mostro alcune formule redatte con una formattazione adatta a Mathematica. Alcune estendono le definizioni e applicazioni originali dei coefficienti. I coefficienti di Laplace che io chiamo “generalizzati“ (con due argomenti r, s invece di uno) possono essere usati nello sviluppo della funzione perturbatrice in luogo di quelli classici, ma non mi sembrano convenienti. Sono invece indispensabili per lo sviluppo in serie delle parti della funzione perturbatrice che dipendono dall’eccentricità.
Lista dei simboli ➤
Raccolta delle formule principali


Coefficienti classici


Coefficienti generalizzati

