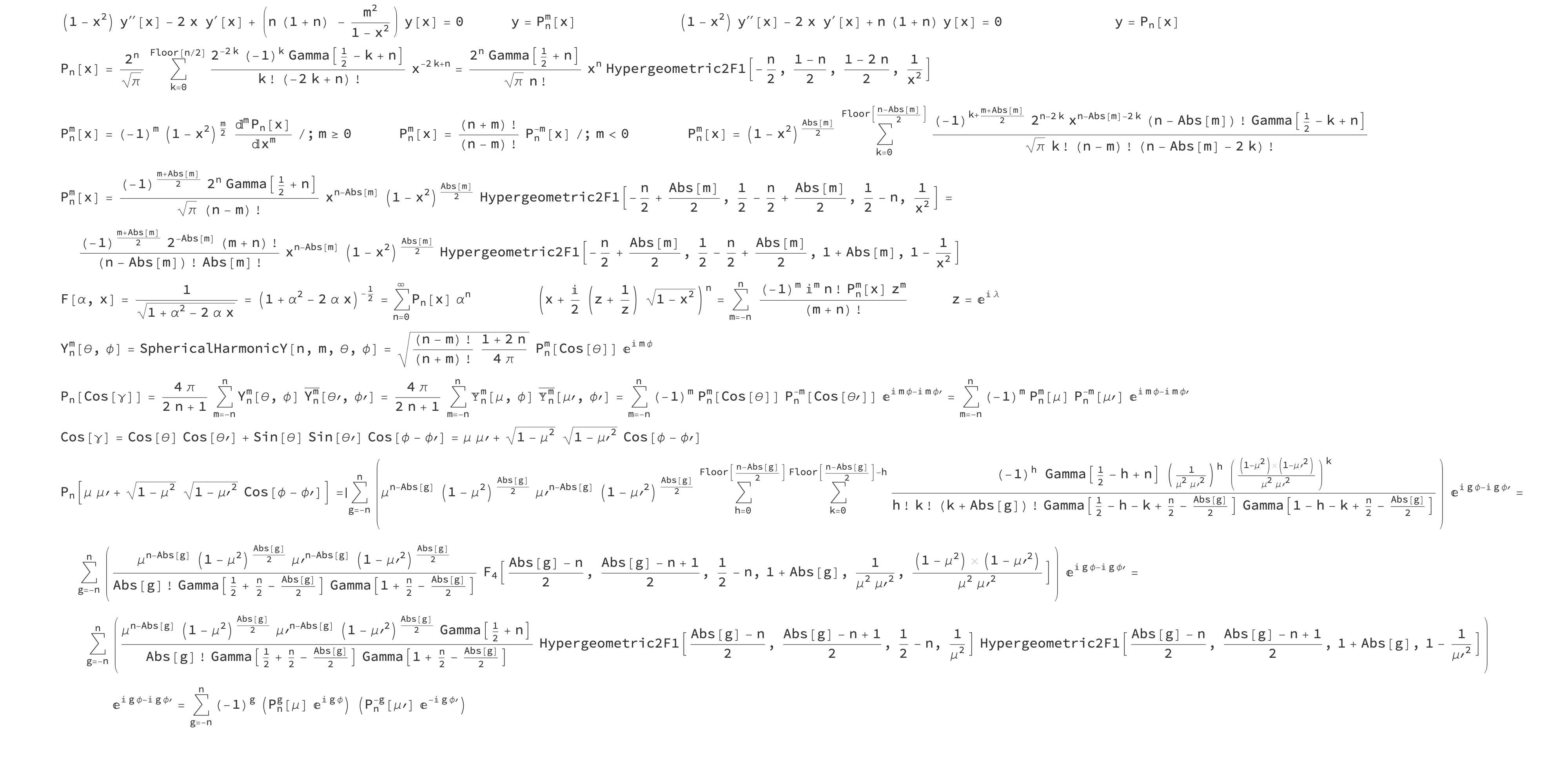
Alcuni tipi di funzioni di Legendre sono uno strumento fondamentale nella moderna meccanica celeste. Riassumo i concetti fondamentali in immagini create con schermate dei miei notebook di Mathematica. Adotto le definizioni del software Mathematica che, seguendo alcuni trattati matematici e le ricerche di meccanica quantistica, applica una potenza di (-1) alle formule principali dei polinomi associati di Legendre. Ma, per non falsare i riscontri, bisogna tener presente che molti autori non usano questo fattore.
Lista dei simboli ➤
Raccolta delle formule principali

Funzioni di Legendre

Funzioni generatrici

Funzioni armoniche sferiche


Teorema di somma o di addizione

Uso della funzione ipergeometrica in due variabili F4 di Appell

